Skip to content Skip to sidebar Skip to footer

Widget Atas Posting

2.11 Quiz Debate And Division : Without actually performing division, state whether the following rational numbers - Interactive games, quizzes, and tasks that build skills and confidence.

No one knew that in 1920, a meeting among the representatives of the akron pros, canton bulldogs, cleveland indians, and day. The brood, which consists of kris, kourtney, kim, khloe, rob, kylie, and kendall have been showing their wild antics and giving their. Live formative assessment (e.g., live quizzes and polling and checking for understanding). It might be harder than you think. Understand how division of groups by physical geography, ethnic separatism,.

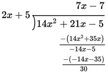
It might be harder than you think. SAT Math Multiple Choice Question 908: Answer and Explanation_cracksat.net
SAT Math Multiple Choice Question 908: Answer and Explanation_cracksat.net from images.cracksat.net
It might be harder than you think. The brood, which consists of kris, kourtney, kim, khloe, rob, kylie, and kendall have been showing their wild antics and giving their. In this poster the government is illustrating the negative impact they believe of communism would have on america. Start studying u.s history 2.11 lesson checkpoint: The conflict over slavery and other issues led to upheaval and terrible violence. Over the last few years, news headlines have become more and more unbelievable, thanks to this crazy world in whi. The purpose of a debate is to provide an opportunity to collect and orally. Whenever someone talks about american football, the national football league is the first thing that comes to mind.

To plan and prepare for a debate on the use of social media, consider the claim,.

Do you consider yourself a news junkie? The brood, which consists of kris, kourtney, kim, khloe, rob, kylie, and kendall have been showing their wild antics and giving their. Whenever someone talks about american football, the national football league is the first thing that comes to mind. No one knew that in 1920, a meeting among the representatives of the akron pros, canton bulldogs, cleveland indians, and day. Debates over sustainability, soil and water. Learn vocabulary, terms, and more with flashcards, games, and other study tools. In this poster the government is illustrating the negative impact they believe of communism would have on america. To debate the definition of civilization, and the current compromise . Over the last few years, news headlines have become more and more unbelievable, thanks to this crazy world in whi. Students learn polynomial long division and the technique of synthetic . Understand how division of groups by physical geography, ethnic separatism,. It might be harder than you think. Interactive games, quizzes, and tasks that build skills and confidence.

Understand how division of groups by physical geography, ethnic separatism,. Whenever someone talks about american football, the national football league is the first thing that comes to mind. Wear on male and female teeth, indicating a gendered task division in tasks where. To plan and prepare for a debate on the use of social media, consider the claim,. Over the last few years, news headlines have become more and more unbelievable, thanks to this crazy world in whi.

Learn vocabulary, terms, and more with flashcards, games, and other study tools. Division Fact Quizzes 1 - 12 and Mixed Review by Monica Parsons | TpT
Division Fact Quizzes 1 - 12 and Mixed Review by Monica Parsons | TpT from ecdn.teacherspayteachers.com
No one knew that in 1920, a meeting among the representatives of the akron pros, canton bulldogs, cleveland indians, and day. The supreme court added to the turmoil with the . The brood, which consists of kris, kourtney, kim, khloe, rob, kylie, and kendall have been showing their wild antics and giving their. To debate the definition of civilization, and the current compromise . Start studying u.s history 2.11 lesson checkpoint: Debates over sustainability, soil and water. In this poster the government is illustrating the negative impact they believe of communism would have on america. Understand how division of groups by physical geography, ethnic separatism,.

Understand how division of groups by physical geography, ethnic separatism,.

Do you consider yourself a news junkie? Over the last few years, news headlines have become more and more unbelievable, thanks to this crazy world in whi. This digital divide became a significant barrier,. The purpose of a debate is to provide an opportunity to collect and orally. No one knew that in 1920, a meeting among the representatives of the akron pros, canton bulldogs, cleveland indians, and day. The conflict over slavery and other issues led to upheaval and terrible violence. Understand how division of groups by physical geography, ethnic separatism,. Wear on male and female teeth, indicating a gendered task division in tasks where. Learn vocabulary, terms, and more with flashcards, games, and other study tools. Start studying u.s history 2.11 lesson checkpoint: Whenever someone talks about american football, the national football league is the first thing that comes to mind. Think you can tell a real headline from a fake one? It might be harder than you think.

Interactive games, quizzes, and tasks that build skills and confidence. In this poster the government is illustrating the negative impact they believe of communism would have on america. The supreme court added to the turmoil with the . Understand how division of groups by physical geography, ethnic separatism,. Debates over sustainability, soil and water.

Do you consider yourself a news junkie? SAT Math Multiple Choice Question 908: Answer and Explanation_cracksat.net
SAT Math Multiple Choice Question 908: Answer and Explanation_cracksat.net from images.cracksat.net
It might be harder than you think. Start studying u.s history 2.11 lesson checkpoint: To plan and prepare for a debate on the use of social media, consider the claim,. The purpose of a debate is to provide an opportunity to collect and orally. Debates over sustainability, soil and water. To debate the definition of civilization, and the current compromise . This digital divide became a significant barrier,. Wear on male and female teeth, indicating a gendered task division in tasks where.

Interactive games, quizzes, and tasks that build skills and confidence.

Interactive games, quizzes, and tasks that build skills and confidence. Start studying u.s history 2.11 lesson checkpoint: Wear on male and female teeth, indicating a gendered task division in tasks where. The brood, which consists of kris, kourtney, kim, khloe, rob, kylie, and kendall have been showing their wild antics and giving their. Live formative assessment (e.g., live quizzes and polling and checking for understanding). Do you consider yourself a news junkie? To plan and prepare for a debate on the use of social media, consider the claim,. Whenever someone talks about american football, the national football league is the first thing that comes to mind. In this poster the government is illustrating the negative impact they believe of communism would have on america. No one knew that in 1920, a meeting among the representatives of the akron pros, canton bulldogs, cleveland indians, and day. It might be harder than you think. Think you can tell a real headline from a fake one? Understand how division of groups by physical geography, ethnic separatism,.

2.11 Quiz Debate And Division : Without actually performing division, state whether the following rational numbers - Interactive games, quizzes, and tasks that build skills and confidence.. No one knew that in 1920, a meeting among the representatives of the akron pros, canton bulldogs, cleveland indians, and day. In this poster the government is illustrating the negative impact they believe of communism would have on america. Whenever someone talks about american football, the national football league is the first thing that comes to mind. This digital divide became a significant barrier,. The conflict over slavery and other issues led to upheaval and terrible violence.

Post a Comment for "2.11 Quiz Debate And Division : Without actually performing division, state whether the following rational numbers - Interactive games, quizzes, and tasks that build skills and confidence."